Linqi Lu, Ph.D.
Multimodal Communication | Computational Social Science
My name is Linqi Lu (pronunciation: lin-chee loo). I am an Assistant Professor in the Department of Communication at the University of North Dakota (UND). My research lies at the intersection of communication, computer science, and psychology, where I investigate how individuals engage with information and technology, and how these interactions shape health, well-being, and broader social outcomes.
My current projects explore the social and psychological impacts of digital media and emerging technology through four areas of inquiry:
- AI design for wellbeing designing and testing applications such as diet health chatbots for evidence-based information delivery and behavioral compliance, as well as philosopher-inspired AI agents embedded in gaming environments to nurture mental health, emotional wellbeing, and resilience.
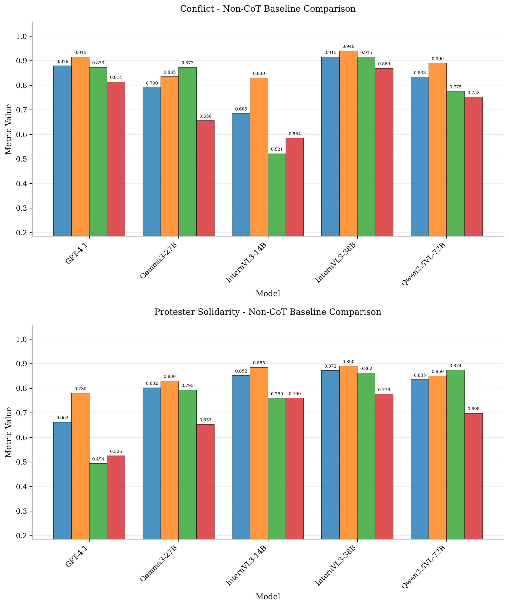
- Computational Social Science employing large language models (LLMs), vision–language models (VLMs), and advanced computational methodologies to analyze media ecosystems and user interaction, with a focus on bias, accountability, and human–AI complementarity.
- Health communication & Infomatics examining how warning labels, online discourse, and information-seeking/sharing practices within digital platforms influence health attitudes, decision-making, and behavior change.
- Networked Multimodal Framing mapping the interconnections among textual, numerical, and visual frames, and theorizing how these multimodal structures shape public opinion, mobilize collective action, and transform sociopolitical engagement.
My research has been featured in journals such as Journal of Communication, Health Communication, Journal of Health Communication, Preventive Medicine, Journal of Medical Internet Research, Health Education and Behavior, Media Psychology, Mass Communication and Society, Journal of Advertising Research, Journal of Behavioral Decision Making, and in the HICSS Conference proceedings, etc.
My work is highly interdisciplinary, involving collaborations across Communication, Computer Science, Public Health, Psychology, and Political Science, etc. I deeply value research partnerships and friendships built on mutual trust and support. Please feel free to reach out with creative ideas for collaboration.
I received my Ph.D. in Communication, with doctoral minors in Computer Science and Educational Psychology at the University of Wisconsin–Madison. I am deeply grateful for the guidance of my committee members: Dr. Douglas M. McLeod (co-chair), Dr. Dhavan V. Shah (co-chair), Dr. Sijia Yang, Dr. Jee-Seon Kim, and Dr. Yin Li.
Latest Publications
-
Evaluating Large Vision-Language Models for Visual Framing Analysis in News Imagery: A Theory-Driven BenchmarkIn Proceedings of the 59th Hawaii International Conference on System Sciences (HICSS-59), 2026Accepted -
Cannabis warning labels, sensory marketing, and electronic word-of-mouth: AI-facilitated textual analysis of a randomized experiment among youth and young adultsInternational Journal of Advertising, 2025